To Build Up A Wireless and Seamless World
A Semi-Dynamic Inter Cell Interference Coordination Method in Long Term Evolution-Advanced
March 2010 – July 2010
Team member, Institute of Wireless Communication Technologies (IWCT) in Shanghai Jiao Tong University, Shanghai, China
Advisor: Prof. Xinbing Wang
Motivation: In the LTE-A, in order to increase the capacity of the system, frequency reuse rate become larger and larger, which significantly increase the Inter Cell Interference (ICI). Meanwhile, due to the utilization of OFDM instead of CDMA, the Intra Cell Interference is not remarkable, which, in turn, make the ICI become the main factor that influence the quality of service (QoS). So how to handle the ICI becomes a very important issue in the process of standardizing the LTE-A. So in this project, my goal is to propose new Inter Cell Intereference Coordination (ICIC) method to mitigate the increasely significant ICI.
- Proposed a novel and practical LTE-A wireless downlink network model that is highly immune to the ICI
In order to decrease the ICI, I propose to take the down-link power control. Cutting every cel into the inner part and outer part. Transimitting signal in a relative low power to decrease its influence on other cells. Since in LTE-A, one cell has been divided into three sections, we can utilize the antenna's directivity to avoid the interference.

- Put forward a semi-dynamic channel source allocation strategy based on space division and load balance.
For the static ICIC method, it may be very effective in decrease the ICIC, yet it offen suffers from the load unblance, which measn that one sector have no source to use, while the adjacent one have a lot. The dynamic ICIC method can solve the problem of load blance very easily, which, however, is very compelx and difficult to implement. So, we propose a semi-dynamic method to inherit both advantanges of the two kinds of algorithms.

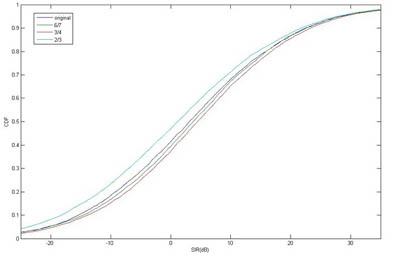
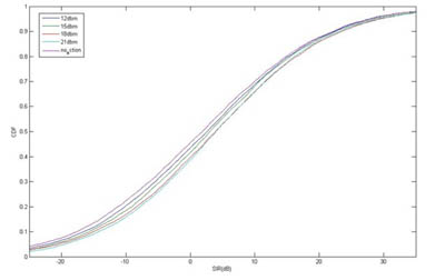
- Compared the efficiency of the proposed algorithm with several other strategies of Inter Cell Interference Coordination (ICIC) by theoretical evaluations and computer simulations.



- Submitted the proposal to the standard LTE-A group in China.